Ejemplo de derivada de una función por definición YouTube
Matematica I DERIVADAS POR DEFINICIÓN
Los que sois asiduos a mi blog sabéis que todo nació con youtube, como sé que ya sois unos máquinas con las mates os agradecería que os suscribiérais a mi canal, para poder seguir ayudando al resto de gente a que sean tan buenos como vosotros. Y activad la campanilla para recibir las notificaciones, que en época de examenes subimos muchos ejercicios clásicos de examen.
Definición de derivada en un punto. Función derivada YouTube

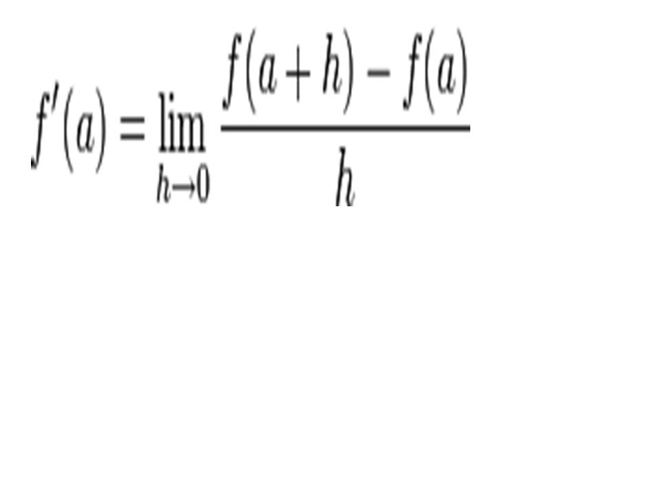
Nota 1.3.4. La derivada de f al valor x = a se define como el límite de la tasa promedio de cambio de f en el intervalo [a, a + h] como h → 0. Este límite puede no existir, por lo que no todas las funciones tienen una derivada en cada punto. Decimos que una función es diferenciable en x = a si tiene un derivado en x = a.
Derivadas 2

Aprende matemáticas con nuestra hermosa y gratuita calculadora gráfica en línea. Grafica funciones, traza puntos, visualiza ecuaciones algebraicas, agrega controles deslizantes, anima gráficos y más. En este documento, puedes explorar la definición de la derivada de una función en un punto y ver cómo cambia al variar el punto y la función.
Matematica I DERIVADAS POR DEFINICIÓN
La derivada de una función en el punto P=(x,y). para hallar esta derivada por definición se realiza fácilmente solo teniendo x y f(x).f(x) = x² para hallar f.
¿Se pueden entender las matemáticas? El concepto de derivada de una función

Blog de Academia Internet: https://academiainternet.wordpress.com/Donde encontrarás los vídeos de Academia Internet, organizados en temas y capítulos.Academi.
Derivada por definición de una función de primer grado. PASO A PASO!!!!!!! YouTube

La derivada f' (a) es la tasa de variación instantánea T.V.I. ( a ). La derivada en un punto es un número real y puede ser negativa, positiva o nula. Si el límite no existiera, incluso en el caso de que fuese infinito, entonces f (x) no sería derivable en a. Pero si la función f (x) admite derivada en a, se dice que f (x) es derivable en a.
Derivada de una función en un punto GeoGebra

Derivadas por definición Si tenemos una función f(x) y queremos calcular su función derivada podemos utilizar la definición de derivada. Ésta nos dice que debemos hallar la pendiente de su recta tangente. Para ello, elegimos un punto de la función al que llamamos x. Si evaluamos la función en "x" obtenemos un resultado f(x).
DERIVADA de la FUNCIÓN en un PUNTO (por la DEFINICIÓN) DERIVADAS 1 YouTube

La derivada de una función describe la razón de cambio instantáneo de la función en un cierto punto. Otra interpretación común es que la derivada nos da la pendiente de la recta tangente a la gráfica de la función en ese punto. Aprende cómo definimos la derivada mediante límites. Conoce un conjunto de reglas muy útiles (como las reglas de potencia, producto y cociente) que nos.
Derivando DERIVADA DE UNA FUNCIÓN EN UN PUNTO

La derivada de una función en un punto corresponde al valor de la tasa de variación instantánea en ese punto y por tanto se calcula como: La derivada de una función en un punto, puede escribirse de todas estas formas, todas igual de válidas: Vamos a ver un ejemplo de cálculo de la derivada de una función en un punto: Calcular la derivada.
Derivadas paso a paso cómo calcularlas y ejercicios resueltos

La derivada de una función describe la razón de cambio instantáneo de la función en un cierto punto. Otra interpretación común es que la derivada nos da la pendiente de la recta tangente a la gráfica de la función en ese punto. Aprende cómo definimos la derivada mediante límites. Conoce un conjunto de reglas muy útiles (como las reglas de potencia, producto y cociente) que nos.
DERIVADA DE UNA FUNCIÓN APLICANDO FÓRMULAS DE DERIVACIÓN YouTube

Ejemplo de la forma de encontrar la derivada de una función en un punto o la pendiente de una función en un punto, cuando conocemos el punto o la abscisa, Ej.
DERIVADA III EJERCICIO DERIVADA POR DEFINICION EN UN PTO DADO YouTube

Conocer el origen físico y geométrico de la derivada. Conocer la definición de derivada de una función y calcularla utilizando dicha definición. Conocer y aplicar las reglas básicas para calcular derivadas, así como las reglas para calcular derivadas de funciones trascendentes.
Derivación de funciones 2 Derivada de una función en un punto YouTube

Supongamos que f(x) sea una función definida en un intervalo abierto que contenga a. La derivada de la función f(x) en a, denotada por f ′ (a), se define por. f ′ (a) = lím x → af(x) − f(a) x- a. (3.5) siempre que exista este límite. Como alternativa, también podemos definir la derivada de f(x) en a cuando.
Derivada por definición Ejemplo 1 YouTube

Es decir, situándonos en un punto a cualquiera, la anchura del intervalo Δ x se hace infinitamente pequeña. El resultado es la definición de derivada en un punto a. f ′ ( a) = lim Δ x → 0 f ( a + Δ x) − f ( a) Δ x. (Léase: La derivada en el punto a ies igual al límite cuando Δ x tiende a infinito, del cociente f ( a + Δ x) −.
Derivada de una función en un punto Ejemplo 2 YouTube

La derivada de una función en un punto por definición es muy útil en 1 Bachillerato. En este ejercicio resuelto te enseño a aplicar la fórmula clave por defi.
Derivada de una función usando la definición Ejemplo 2 YouTube

Definición: Función derivada. Dejar f ser una función. La función derivada, denotada por f ′, es la función cuyo dominio consiste en aquellos valores de x tal manera que existe el siguiente límite: f ′ (x) = lim h → 0f(x + h) − f(x) h. Se dice que una función f(x) es diferenciable ena si f ′ (a) existe.
.